LA COLOMBOPHILIE H.O.
Home
Météo / Het weer
Lâcher / Los
Result. clubs, Provincial, (Inter)National
RFCB / KBDB
Facebook
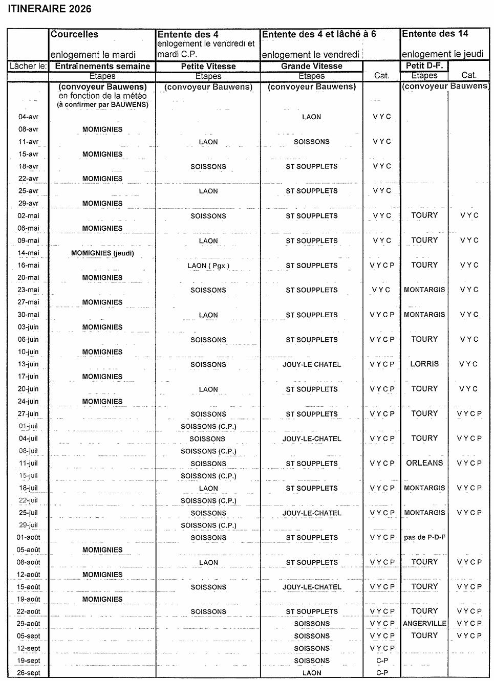
Fed. Col. Courcelles - Programme 2026
Programme concours 2026 definitif